一、招聘职位及人数
招聘花都区公办中小学劳动合同制教师(签订劳动合同,不纳入编制管理)315人。具体职位见《广州市花都区教育局2021年公开招聘中小学劳动合同制教师职位表》(附件1)。
说明:本次招聘的职位分A、B两类职位。A类职位为中学教师及音乐、体育、美术、心理等学科教师职位。B类职位为其他科目的小学教师职位及特殊教育职位。
二、招聘对象及条件
(一)招聘对象
2021年应届毕业生和非2021年毕业的往届生(不含合同有效期内的花都区新机制教师)。
1.“2021年应届毕业生”指于2021年1月1日至2021年12月31日期间取得普通高等学校毕业证书的毕业生(含持境外学历学位证书人员)。
2.“非2021年毕业的往届生”指于2020年12月31日前取得普通高等学校毕业证书的非在读人员(含持境外学历学位证书人员)。
(二)基本条件
报考者须具备《广东省事业单位公开招聘人员办法》(粤府令第139号)要求的基本条件、符合《广州市事业单位人事制度改革问答(一)》(穗人社发〔2010〕128号)第二十条规定及以下条件:
1.具有中华人民共和国国籍;
2.遵守中华人民共和国宪法和法律;
3.具有良好的品行和职业道德;
4.具有招聘职位所需的专业技术条件、任职资格、职业(执业)资格及技能要求;
5.身心健康,具有适应职位要求的身体条件;
6.具备招聘职位所需要的其他条件;
7.法律法规规定的其他条件。
8.有下列情形之一的,不接受报名:
(1)因犯罪受过刑事处罚的;
(2)受行政开除处分未满5年或其他行政处分正在处分期内的;
(3)近2年内,在全国机关、事业单位招录(聘)考试、体检或考察中存在违纪行为的;
(4)因涉嫌违法违纪正在接受审计、纪律审查,或者涉嫌犯罪,司法程序尚未终结的;
(5)被依法依规列为失信联合惩戒对象的;
(6)聘用后即构成回避关系的;
(7)法律、法规和规章规定不宜报名的其他情形。
(三)具体资格条件
除具备以下资格条件外,各职位的具体要求详见(附件1)。
1.具有本科以上学历和学士以上学位。
2.2021年应届毕业生30周岁(含)以下;非2021年毕业的往届生女性年龄为50周岁(含)以下,男性年龄为55周岁(含)以下。年龄的时间点计算截至报名首日。
3.具有与报考职位相对应的教师资格证。报考语文教师职位的人员普通话水平测试必须达到二级甲等或以上。报考初中英语教师职位人员须取得全国高校英语专业八级合格证书或雅思7.0分、托福90分以上成绩。报考特殊教育教师职位须具有小学或以上的教师资格证。
暂未取得教师资格证、普通话水平等次证书、专业英语等级证书的2021年毕业生,须承诺在2022年7月31日前取得相应资格证书,否则用人单位将终止聘用。
4.报考A类职位的考生其所学专业必须与报考的职位相对应。如报考人员所学专业未列入《广东省2020年考试录用公务员专业参考目录》(附件2),但所学专业主要课程与报考职位所要求专业的主要课程基本一致的,则须在现场资格审查时提供与报考职位要求专业的主要课程基本一致的证明材料(包括加盖公章的课程成绩单),经组织招聘部门认定为相近专业的方可视为专业符合报考要求。
研究生阶段所学专业为学科教学、课程与教学论、教育学专业的,其专业研究方向如与报考的教师岗位条件一致的,视为符合要求。
报考B类职位的考生所报考的职位应与其教师资格证的科目或专业技术资格证书的科目一致。报考小学科学的,其教师资格证或专业技术资格证的学科须为科学、物理、化学、生物或地理学科。
5.港澳学习、国外留学生报考时须持有教育部中国留学服务中心出具的国(境)外学历、学位认证函和使领馆开具的有关证明材料。
三、招聘程序
按照网上报名、现场资格审核、面试、教学技能测试、笔试、体检、考察、公示、签订劳动合同等程序进行。
(一)网上报名
1.报名方式
报名者于2021年7月26日8:30--2021年7月28日17:30,在报名网站http://www.sydwzl.com/gdgzhdjyzp2021/,按提示方法填写个人资料进行报名。
2.报名须知
(1)每个职位的计划招聘人数与有效报名人数的比例须达到1:3以上方能开考。如达不到上述比例,经招聘工作领导小组研究后可减少或者取消招聘职位数。
(2)每人限报一个职位。
(3)报考者须对报名材料的真实性和完整性负责。凡提供虚假材料的,一经查实,取消报考资格或聘用资格,并记录在案。因未按要求正确填写报名信息导致未通过网络初审的,责任由报考者承担。
(二)现场资格审核
时间:7月31日—8月1日,具体的时间、地点另行通知。
成功报名的考生按照《资格审核材料目录》(见附件3)的要求,携带所列的资料原件和复印件(A4规格)参加现场资格审核。
资格审核合格人员方能参加面试。不按规定时间参加现场资格审核者按自动弃权处理。
(三)面试
时间:8月2日—3日,具体的时间、地点另行通知。
面试成绩满分为100分,合格成绩为60分,成绩低于60分者不能进入下一程序。面试时长不超过8分钟。
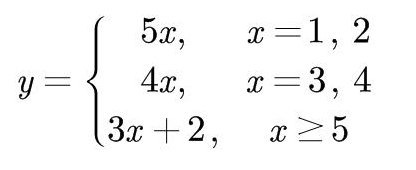
面试成绩仅作为筛选考生的手段,结果不计入考生总成绩。根据面试成绩的高低顺序,按与招聘职位数的一定比例确定进入教学技能测试人员(若最后一名出现同分的,则同分人员一起进入教学技能测试)。具体计算函数为:

其中,x代表招聘职位的拟招聘人数,y代表进入教学能力测试人数。如果达不到上述规定的比例,则面试成绩合格人员全部进入教学技能测试。
(四)教学技能测试
时间:8月4日—5日,具体的时间、地点另行通知。
教学技能测试成绩满分100分,合格成绩为60分,成绩低于60分者不能进入下一程序。教学技能测试成绩按60%折算计入综合成绩。主要考察考生在专业素养、教学组织、语言表达、综合分析等方面的能力。
音乐、美术、体育科目的教学技能测试由试讲和专业测试(或技能展示)两个环节组成。其余科目采用上微型课(试讲)的方式进行,考生现场备考时间为30分钟,测试时间为15分钟,其中试讲时间为12分钟,其余时间由评委根据考生的表现情况进行提问,不提供多媒体教学平台。
音乐、美术、体育科目的职位有专业方向要求的,专业测试的内容以职位要求的专业方向技能为主。没有专业方向要求的职位,专业展示按以下方式进行:
1.音乐学科考生专业技能展示为声乐、钢琴和个性特长三个环节。
2.美术学科考生专业根据自身专业方向展示一项绘画(国画、水彩、水粉、素描均可)或书法专业技能。
3.体育学科考生展示其专业技能和一般体育技能。
体育、音乐、美术三个科目的考生可自行决定是否携带专业展示所需器材。
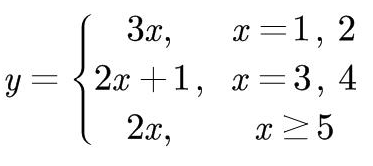
根据教学技能测试成绩的高低顺序,按与招聘职位数的一定比例确定进入笔试人员(若最后一名出现同分的,则同分人员一起进入笔试)。具体计算函数为:

其中,x代表招聘职位的拟招聘人数,y代表进入笔试人数。如果达不到上述规定的比例,则教学技能测试成绩合格人员全部进入笔试。
(五)笔试
笔试成绩满分100分,合格成绩为60分,成绩低于60分者不得进入下一程序。笔试成绩按40%折算计入综合成绩。笔试时间为120分钟,笔试内容为教育政策法规、新时代中小学教师职业行为准则、教育学、心理学方面的基本理论知识,课堂教学、班级(团队)管理常规知识。
笔试的时间:8月8日,具体的时间、地点另行通知。
(六)体检
根据考生综合成绩高低顺序,按与招聘职位数1:1的比例确定参加体检人员名单。体检时间、地点另行通知。
体检按《广东省事业单位公开招聘人员体检实施细则(试行)》(穗人社发[2010]172号)《广东省教师资格申请人员体格检查标准(2013年修订)》的规定执行。无故不按时参加体检人员或体检不合格者,取消聘用资格。体检医院建议复查的,如在一个月内不能得出合格结论,视为体检不合格。体检合格者进入考察环节。
(七)考察
对体检合格者按照《广东省事业单位公开招聘人员考察工作实施细则(试行)》(穗人社发〔2010〕172号)进行组织考察。考察重点是政治思想、道德品质、遵纪守法、职位匹配等方面的情况。同时核实其是否符合规定的报考条件,提供的报名信息和相关材料是否真实、准确、有效,是否具有报考回避情形等方面的情况。考察方式以查阅个人档案、核实报考条件和相关资料为主,根据需要也可到考察对象曾经学习、工作过的单位进行延伸考察。考察不合格者,取消聘用资格。
(八)公示
考察合格人员名单报本次公开招聘工作领导小组审定后,在广州市花都区政府网站(区教育局)公示5个工作日。
(九)办理聘用手续
公示期满无异议的,办理聘用手续。与花都区教育局签订劳动合同。社会人员在签订劳动合同前,需提供与原单位解除劳动合同且无劳动纠纷的相关证明材料。劳动合同的试用期为一个月,首次合同截止日期为2022年7月31日。合同期满后,经考核合格的根据需要可续聘。
在体检、考察、公示、办理聘用手续等环节出现空缺时,可根据实际情况由本次公开招聘工作领导小组决定是否递补。递补人员应在相应职位成绩合格的考生中按综合成绩由高到低的顺序依次确定。
四、人员待遇和管理
薪酬待遇按照花都区合同制教师薪酬标准执行,包干经费按15.66万元/年.人的标准(含单位及个人部分的五险一金、绩效工资等)核拨。
由学校负责日常管理,区教育局有根据各学校的师资情况进行岗位调配的权力。其他具体事项,以劳动合同中约定的内容为准。
五、新冠疫情防控要求
按照《广东省人事考试新冠肺炎疫情常态化防控工作指引》以及新冠肺炎疫情防控相关文件精神,为严格落实常态化疫情防控工作,确保涉考人员生命安全和身体健康,考生参加考试和体检环节的有关要求如下:
(一)考生从考试和体检前14天起,每日在“粤康码”或“穗康码”等健康二维码上如实进行健康申报,登记个人近期旅居史、接触史、身体健康状况、来穗方式等情况,自觉做好自身健康管理,主动减少外出和不必要的聚集,避免前往疫情中高风险地区。考生自行打印并如实填写《考生个人健康卡及安全考试承诺书》(以下简称《健康承诺书》)。
(二)考生必须同时凭健康二维码、有效身份证及经考生本人签名的《健康承诺书》参加考试和体检,材料不齐的考生不得参加线下考试和体检。
(三)考试和体检前14天内有国内高风险地区旅居史的,正处于隔离治疗期的确诊病例、疑似病例、无症状感染者,正处于集中或居家隔离观察期的,以及隔离期未满的密切接触者,不得参加考试和体检。
(四)《健康承诺书》中涉及需提供新型冠状病毒检测阴性报告的考生,在参加考试和体检时,必须携带3天内新型冠状病毒检测阴性的报告,方可参加线下面试和体检(中高风险地区名单可在“国务院客户端小程序”查询)。
(五)“粤康码”或“穗康码”等电子健康码为绿码,且经现场测量体温低于37.3℃,方可参加考试和体检。
(六)参加考试和体检的考生应自备一次性医用口罩并全程佩戴。
(七)根据广州市疫情防控相关工作要求,我局有权对疫情防控措施、考点设置、招考方式等进行相应的调整。
六、其他事项
(一)本次招聘不指定考试教材,不举办、也不委托任何机构举办考试辅导培训。
(二)本次招聘的资格审查贯穿于招聘全过程。发现有不符合岗位资格条件或弄虚作假的,取消其应聘或聘用资格;已办理聘用手续的,予以解聘。
(三)报考者在招聘过程中有下列行为之一的,取消考试资格或者聘用资格:
1、伪造、涂改证件、证明,或者以其他不正当手段获取应聘资格的;
2、在考试、体检或考察等过程中作弊的。
(四)区教育系统纪委对公开招聘工作全程监督,确保招聘工作公正、公平。
(五)关于各招聘职位的相关报名和考试问题,请在工作日的9:00—11:30、14:00—17:30拨打电话:020-36898754进行咨询。网上报名技术咨询电话:4008228076,广州市花都区教育局监督电话:020-36892602。
本通告最终解释权在广州市花都区教育局。
点击下载>>>
2021年广州市花都区教育局公开招聘劳动合同制教师职位表x.xls
2020年广东省考试录用公务员专业参考目录.xls
2021年广州市花都区教育局公开招聘资格审核材料目录.doc
2021年广州市花都区教育局公开招聘考生个人健康卡及安全考试承诺书.docx
广州市花都区教育局
2021年7月19日

