广宁县2021年肇庆学院专场招聘教职员公告
为进一步充实我县教师队伍,根据《广宁县2021年高校专场招聘教师工作方案》,我县定于2021年5月11日到肇庆学院开展高校专场招聘中小学、幼儿园教职员,现公告如下:
一、招聘岗位及人数
本次专场招聘中小学、幼儿园教职员共106名,详见《广宁县2021年高校专场招聘教职员岗位表》(附件1)。
二、招聘对象和条件
(一)招聘对象
1.高中教师招聘对象:普通高等院校研究生及以上学历应届毕业生(含择业期内毕业生)。
2.初中教师招聘对象:普通高等院校全日制本科及以上学历应届毕业生(含择业期内毕业生)。
3.小学教师招聘对象:普通高等院校全日制本科及以上学历应届毕业生(含择业期内毕业生)。
4.幼儿园教师招聘对象:普通高等院校全日制大专及以上学历应届毕业生(含择业期内毕业生)。
5.校医招聘对象:具有临床医学、护理等专业全日制大专及以上学历应届毕业生(含择业期内毕业生)。
说明:“应届毕业生”是指2021届毕业生以及符合择业期政策(详见《广东省教育厅广东省公安厅广东省人力资源和社会保障厅关于实行广东省普通高等学校毕业生就业择业期政策(试行)的通知》)的毕业生。
(二)报考条件
1.具有中华人民共和国国籍,遵守国家法律法规,无违法记录,具有良好的品行和职业道德。
2.热爱党的教育事业,爱岗敬业,身体健康。
3.具备岗位所需的专业或技能条件。
4.具有相应学段的教师资格证(或具有二级乙等以上成绩的《普通话水平考试等级证书》及有效期内的《中小学教师资格考试合格证明》)。
5.2021年毕业生需在2021年8月31日前取得相关学历证书,否则用人单位将取消聘用资格。
6.年龄35周岁及以下(年龄计算日期截至报名前一日,即1985年5月10日后出生)。
7.有下列情况之一的,不予接受报名:
(1)因涉嫌违法违纪正在接受审计、纪律审查,或涉嫌犯罪,司法程序尚未终结的;
(2)近两年内,在机关、事业单位招录(聘)考试、体检或考察中存在违纪行为的;
(3)法律法规规定不宜聘用的其他情形。
三、招聘程序
(一)报名时间及方式
应聘者可选择以下两种方式之一进行报名:
1.预报名+现场确认。自公告发布之日起至2021年5月7日前,将报名表发送至我县教育局人事股邮箱(gnjyjrsg@163.com)进行预报名,并于现场招聘当天到现场提交报名资料原件及复印件,办理现场确认。
2.现场报名。现场招聘当天直接到指定地点现场提交报名资料原件及复印件,办理现场报名。
时间:2021年5月11日上午8:30-11:30
地点:肇庆学院第一教学楼
(二)报名需提交材料
1.《广宁县2021年高校专场招聘教职员报名表》(附件2),粘贴本人免冠电子彩照后打印,一式一份。
2.有效居民身份证原件及复印件。
3.2021年毕业生需提供高等院校毕业生就业推荐表及学业成绩表原件及复印件;择业期内毕业生需提供招聘岗位所要求的学历证书(有学位的同时提供学位证书)原件及复印件。
4.相应学段的教师资格证书原件及复印件(或二级乙等以上成绩的《普通话水平考试等级证书》及有效期内的《中小学教师资格考试合格证明》)。
5.个人简历(在空白处声明资料真实以及签名)。
6.获奖材料。
7.高等学校毕业生就业协议书原件及复印件(若是电子协议,则需要现场操作电子协议)。
(三)笔试(技能测试)
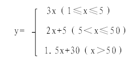
1.确定入围笔试(技能测试)人员。报名结束后,由招聘工作小组根据考生的报名资料,按事前研究制定的评分制度进行筛选审核确定入围笔试(技能测试)人员。参考《广宁县事业单位公开招聘人员实施细则》(宁府办〔2011〕78号)规定,入围笔试(技能测试)对象人数按拟招聘岗位人数分段计算,具体计算函数为:

入围笔试(技能测试)人员名单及笔试(技能测试)通知将在报名现场进行张贴公布,请考生密切留意。
2.笔试(技能测试)。体育、美术、音乐和舞蹈学科实行技能测试,其他学科实行笔试。技能测试内容为学科专业技能,需考生自行携带相应工具。笔试内容为招聘岗位相应学科知识,采用闭卷形式。笔试和技能测试均实行百分制,并设最低分数线。
时间:招聘当天下午2:00开始(具体以现场通知为准)
地点:现场通知
(四)面谈和签约
时间:招聘当天笔试(技能测试)结束后(具体以现场通知为准)
地点:现场通知
在笔试(技能测试)成绩达到最低分数线人员中按各科成绩由高至低确定入围面谈人员、选岗顺序,招聘工作小组与入围面谈考生进行集体谈话,双方达成一致即现场办理选岗、签约有关事宜。
(五)体检与考察
签约人员需参加后续的体检和考察工作。
1.体检工作按照《广东省事业单位公开招聘人员体检实施细则(试行)》组织实施,体检标准按《广东省教师资格申请人员体格检查标准(2013年修订)》执行。
2.体检合格的考生确定为考察人选,由县教育局根据《广东省事业单位公开招聘人员考察工作实施细则(试行)》组织考察。
(六)公示与聘用
对体检、考察合格的考生确定为拟聘用人员,名单将在我县人民政府门户网站进行公示,公示时间为7个工作日。经公示无问题反映或反映问题经查不属实的,按规定办理聘用手续。
四、报名注意事项
(一)考生只可选择一个岗位报考。
(二)资格审查贯穿招聘工作全过程,在招聘各环节发现报考者不符合报考资格条件的,或报考者和有关单位提供的材料、信息不实的,取消报考者报考资格或聘用资格。
(三)招聘各环节时间视现场情况有可能作调整,具体以现场安排为准。
(四)所有考生进入报名点(考点)时,均应主动出示“粤康码”等电子健康码绿码,接受体温检测,并全程佩戴一次性医用口罩。如“粤康码”等电子健康码为红码、黄码或体温≥37.3℃,不得进入报名点(考点)。
五、其他
(一)若同一岗位考生的笔试(技能测试)成绩相同,则由招聘工作小组结合考生的报名资料择优确定进入面谈人员;若进入面谈的考生考试成绩相同,则现场抽签确定选岗顺序。若有入围面谈人员放弃聘用机会,招聘工作小组可视考生笔试(技能测试)成绩情况递补下一位。
(二)本次招聘的中小学教职员岗位聘用人员为公益一类事业编制,幼儿园教师岗位聘用人员为公益二类事业编制,执行国家政策规定的薪酬待遇。
(三)因考察、体检、公示结果影响聘用的,县教育局有权解除就业协议且不作任何补偿。
(四)聘用人员必须服从工作安排,在广宁县教育系统服务五年。签订就业协议后放弃聘用资格或服务期未满5年申请辞职者,须承担相应的违约责任。且服务期未满5年,不得申请县外调动。
(五)本次招聘不指定考试教材,不举办、也不委托任何机构举办考试辅导培训。
本公告由广宁县人力资源和社会保障局、广宁县教育局负责解释。
联系部门及联系电话:广宁县人力资源和社会保障局事业单位管理股(0758-8618002)、广宁县教育局人事股(0758-8632084)
广宁县人力资源和社会保障局广宁县教育局
2021年4月30日

