根据《广东省事业单位公开招聘人员办法》及珠海市有关规定,为补充学校教师队伍、完善师资配置,珠海市第二中学、珠海市斗门区第一中学、珠海市田家炳中学、珠海市第四中学、珠海市麒麟中学(珠海二中麒麟校区)2023年春季拟公开招聘53名教师。现将招聘有关事项公告如下:
一、珠海市简介
珠海是中国最早设立的四个经济特区之一,位于广东省珠江三角洲南部,东与香港、南与澳门陆桥相连,港珠澳大桥竣工后,珠海成为内地唯一与香港、澳门同时陆路相连的城市。珠海市陆地面积1725平方公里;岛屿众多,素有“百岛之市”美誉。珠海,青春之城 活力之都,一座用青春定义、用活力妆点的青年人才友好型城市,一座现代化花园式海滨城市,荣获了“中国十大魅力城市”“全国文明城市”“国家园林城市”“中国最具幸福感城市”“国家森林城市”等多项称号。
2021年9月,中共中央、国务院正式公布《横琴粤澳深度合作区建设总体方案》,推进横琴粤澳深度合作区建设。珠海作为粤港澳大湾区核心城市之一,正处在千载难逢的时空节点上。珠海坚持新发展理念,紧扣“四个走在全国前列”等新要求,以新时代“二次创业”推动改革开放再出发,提升城市能级量级,努力建设成为粤港澳大湾区的重要一极和践行新发展理念的典范城市。
珠海始终坚持教育优先发展战略,深入开展教育领域综合改革,全面推进教育高质量发展,教育事业取得显著成就,率先成为全省推进教育现代化先进市,教育教学质量位居全省前列。珠海市牢固树立以人民为中心的发展思想,深刻认识到教育高质量发展是实现“民生为要”的重要举措,教育高质量发展也是落实“产业第一”的有力抓手,必须以优质教育为经济社会发展赋能。珠海教育以“提质创优建高地”为抓手,以实现“各类教育协调发展、区域教育均衡发展、学校办学内涵发展、人才培养具有国际竞争能力”为目标,坚定不移、脚踏实地向更高水平、更高质量迈进,为珠海经济社会发展提供强大的人才智力保障,为提升珠海城市核心竞争力提供重要支撑。
更多信息可访问中国·珠海网站(http://www.zhuhai.gov.cn/)。
二、招聘单位介绍
珠海市第二中学、珠海市斗门区第一中学、珠海市田家炳中学、珠海市第四中学、珠海市麒麟中学(珠海二中麒麟校区)均为珠海市教育局直属普通高中,公益一类事业单位,详见附件2。
三、招聘对象、范围及条件,招聘岗位、人数及酬薪待遇
本次招聘人员均纳入市财政全额拨款事业编制,享受政策规定的薪酬待遇。
(一)基本条件
1.具有中华人民共和国国籍;
2.遵纪守法,品行端正;
3.具有履行岗位职责的身体、心理和技能条件;
其他具体条件,须符合本公告及《招聘岗位表》(据《广东省事业单位公开招聘人员办法》及珠海市有关规定,为补充学校教师队伍、完善师资配置,珠海市第二中学、珠海市斗门区第一中学、珠海市田家炳中学、珠海市第四中学、珠海市麒麟中学(珠海二中麒麟校区)2023年春季拟公开招聘53名教师。现将招聘有关事项公告如下:
一、珠海市简介
附件1)所规定的资格条件。
(二)招聘范围及对象
1.招聘对象F1:符合招聘岗位条件的2023年优秀应届毕业生等人员,具体为:
(1)国内普通高校2023年应届毕业生(非在职)(须于2023年9月30前取得学历学位证书);
(2)在境内就读的中外合作办学2023年应届毕业生(非在职)(须于2023年12月31日前取得学历学位证书);
(3)2021、2022年普通高校毕业生(非在职)及在境内就读的中外合作办学毕业生(非在职),自毕业证书落款之日起至报名首日未曾与用人单位建立过人事或劳动关系的人员;
(4)2021、2022、2023年取得国(境)外学历学位证书并完成教育部认证,且自毕业证书落款之日起至报名首日时未曾与用人单位建立过人事或劳动关系的留学回国人员(须于2023年9月30前取得国(境)外学历学位证书并完成教育部留学服务中心学历学位认证);
(5)正在参加服务基层项目的人员,或服务期满且考核合格后2年内的人员(按服务期满后颁发证书的落款日期至报名首日计算)。
招聘过程中,用人单位或其主管部门将通过比对养老、工伤、失业保险等方式,对考生在规定期间内是否曾与用人单位建立过人事或劳动关系进行核查。
2.招聘对象F2:符合招聘岗位条件的往届毕业生等人员,具体为:
符合招聘岗位条件的已取得全国普通高等院校本科学士及以上学历学位或已取得国(境)外本科学士(含在境内就读的中外合作办学)及以上学历学位的人员,年龄为40周岁及以下(即1982年4月30日及以后出生)。
(三)招聘岗位、人数及学历专业要求
应聘人员所学专业须与招聘岗位要求的专业相符。具体招聘范围及对象、招聘学科、专业要求、人数及要求详见《珠海市第二中学、珠海市斗门区第一中学、珠海市田家炳中学、珠海市第四中学、珠海市麒麟中学2023年春季招聘岗位表》(附件1)。专业名称及代码参照《广东省2023年考试录用公务员专业参考目录》(附件3)执行。
(四)有下列情况之一的,不接受报考:
1.因涉嫌犯罪,司法程序尚未终结的;
2.被依法列为失信联合惩戒对象的;
3.近两年内,在公务员考录和事业单位公开招聘中存在违纪违规行为的;
4.聘用后即构成回避关系的;
5.法律法规规定不宜聘用的其他情形。
(五)其他事项
1.所有考生报名时须提供相应层次的教师资格证(就高不就低,例如:具有高中教师资格证的考生可报考要求初中教师资格证、小学教师资格证的岗位;具有小学教师资格证的考生不可报考要求初中教师资格证、高中教师资格证的岗位)。考生如报名时暂无法提供,须提交《关于按期取得教师资格证的承诺书》(附件4),承诺于2023年12月31日前取得相应层次的教师资格证,届时无法提供的将取消聘用资格。考生未取得教师资格证,不予办理聘用手续。根据人力资源和社会保障部、教育部有关规定,对在2021年及2022年教师资格考试中受疫情影响的考生(即2021年及2022年中小学教师资格考试(NTCE)笔试成绩单或面试成绩单“受到疫情影响”栏标注为“是”),可以参加招聘报名,通过公开招聘的,在订立聘用合同时应当按规定约定1年试用期,先上岗从事辅助性教育教学工作,试用期内未取得相应教师资格的,依法解除聘用合同。
2.留学归国人员必须凭国家教育部留学服务中心出具的国(境)外学历学位认证书办理聘用手续,否则,取消聘用资格。
四、招聘程序及方法
(一)招聘程序
发布公告—>网上报名—>网上预审—>笔试—>面试—>确定拟聘用名单—>体检—>考察—>公示—>签约—>办理入职手续。
(二)报名及预审
1.报名方式与预审
本次招聘采取网上报名(不接受现场报名)+现场确认方式进行,即:通过教师招聘网上报名系统进行报名—网上资格初审—现场资格审核确认。
考生按要求填写报名表,提交相关信息后,将由专家组根据报考人员的学历、学位、专业素养、学习成绩(工作业绩)、在院(系)担任学生干部及校内社团任职情况、所获奖学金及校(院)级以上奖励等情况进行网上预审。网上资格初审结果,将通过“教师招聘网上报名系统”反馈。
网上初审通过人员,携带报名材料原件,于指定时间到指定地点进行现场审核确认,并提交报名材料复印件一份(原件备查,复印件不予退还)。没有通过网上审查的人员,将不接受现场报名及确认。现场资格审核确认须本人参加,不能委托他人办理。
报名时将进行心理品质测试,心理品质测试由第三方人才机构进行测试。参加了心理品质测试的考生方可进入预评分。测试结果仅供招聘单位参考,不记入考生成绩。
2.报名时间
网上报名:进入珠海市教育局门户网站(http://zhjy.zhuhai.gov.cn/)点击页面右下角“教师招聘网上报名系统”进行报名。网上报名起止时间为2023年4月13日10:00至5月4日12:00。
3.笔试、面试考试时间地点
笔试、面试地点和时间另行通知。
(三)材料审核
1.资格审查
考生在网上报名时须提供相关材料。学校资格审查组对报考者进行网上预审。各岗位不设进入笔试环节的人数比例。各岗位拟聘人数与符合条件报考人数比例不足1:3时,该岗位将不予开考或按比例核减招聘计划。
2.须提供的材料
报考者应按以下顺序整理好资料上传至报名系统。
(1)报名表(贴照片并签名);
(2)有效身份证、学生证;
(3)毕业生推荐表(函)(加盖学校“毕业生分配办公室”或“学生就业指导中心”或“学生处”公章,研究生的推荐表加盖“研究生院〈处〉”的公章亦可)、院系推荐意见(推荐表中已有的不需再提供);
(4)成绩单(复印件需有院系加盖公章);
(5)岗位条件要求的其他详细证明材料。
如资格审查时提供不了推荐表的考生,须提供院系推荐意见。如报考者为研究生的,还须提供本科学历、学位证书。
3.其他要求
(1)报考人员所提供的审核材料必须齐全且保证真实,如材料不齐或弄虚作假,不予进入下一招考环节。弄虚作假者取消报名资格;
(2)材料审核只是对报考人员提供材料的初步审查,最终以办理聘用手续时的审查结果为准。
(四)考试
本次招聘考试采取笔试和面试方式。所有岗位报考者须参加笔试和面试。
1.笔试
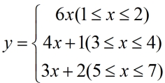
笔试主要测评基本能力,满分100分,合格线为60分。笔试时间另行通知,请注意保持通讯畅通。笔试成绩在珠海市教育局官方网站及各校官方微信公众号公布。在笔试合格考生中,根据考生成绩高低顺序,按以下公式确定入围面试人选:

其中:y代表该岗位进入考试人数,x代表该岗位招聘人数。若某岗位报考者经现场资格审查,符合条件人数少于上述公式规定的人数,则以实际符合条件人员为面试人选。若进入面试人选中最后一名有同分的,同分考生均进入面试。
符合报考条件的2023年珠海市生源的教育部直属师范大学公费师范毕业生(北京师范大学、华东师范大学、东北师范大学、华中师范大学、陕西师范大学和西南大学),笔试成绩不参加排名,直接进入面试环节且不占其他考生按比例入围面试的名额。
2.面试
(1)面试采用“试讲或说课(技能测试)+答辩”的方式进行,请考生根据报考岗位或方向携带个人技能展示器材和设备。报考者凭身份证原件参加面试。
(2)试讲或说课内容从岗位所在学段教科书中随机抽取。
(3)成绩计算。满分100分,合格线为80分(四舍五入并保留两位小数)。当场评分、统分,网上公布成绩。
3.综合成绩
综合成绩=笔试成绩×50%+面试成绩×50%;
综合成绩合格线70分(四舍五入并保留两位小数)。
面试结束后,在面试成绩合格考生中根据综合成绩高低顺序,按各岗位招聘人数等额确定入围体检人员名单。如同一岗位考生综合成绩相同的,按照面试成绩高低顺序确定名次;如面试成绩仍然相同的,则按面试主评委的评分高低顺序确定名次。
(五)初定拟聘人员并签订就业协议书
具体时间及地点见届时公布的通知。
(六)体检及考察
考试结束后,在考点城市符合条件的医院统一体检,按《广东省事业单位公开招聘人员体检实施细则(试行)》(粤人社发〔2010〕382号)和《广东省教师资格申请人员体格检查标准》(2013年修订)执行,具体安排另行通知。请参加体检人员做好体检准备,并准备近期大一寸免冠照片2张。拟聘人员须按时参加体检,无故不按时参加体检者,视为自动放弃资格。体检不合格者,将不进入下一招考环节。
对体检合格考生进行考察,按《广东省事业单位公开招聘人员考察工作实施细则(试行)》(粤人社发〔2010〕276号)及相关规定执行,并对拟聘人员的资格条件进行复审。
(七)确定拟聘人员并公示
体检、考察合格者被确定为拟聘人员,名单将在珠海市教育局官网进行公示,公示时间为7个工作日。
因体检、考察及公示等结果影响聘用的,用人单位有权解除就业协议且不作任何补偿。
(八)办理聘用手续
招聘结果报主管部门备案认定后,10个工作日内签订就业协议书,办理拟聘人员接收、聘用等手续。未按期签订就业协议书的视为自动放弃岗位。
已办理聘用手续的人员,须签订5年期限的聘用合同。聘期内,聘用人员拟调离珠海市教育局直属教育系统的,视为违约,单位可不予办理调动手续。
聘用人员均实行12个月试用期,试用期包含在5年聘期内,试用期满,考核合格的,予以继续聘用。考核不合格或试用期内发现不符合岗位资格条件的,按规定办理解聘手续。
五、有关事项
(一)本公告由各招聘单位教师招聘工作领导小组办公室负责解释。
1.珠海市第二中学、珠海市麒麟中学(珠海二中麒麟校区)咨询电话:0756-2152820,监督投诉电话:0756-2152809。
2.珠海市斗门区第一中学咨询电话:0756-5119341,监督投诉电话:0756-5116270。
3.珠海市田家炳中学咨询电话:0756-5502615,13532225867。监督投诉电话:13226493799。
4. 珠海市第四中学咨询电话:0756-6167333,监督投诉电话:0756—6167363。
(二)拟聘的国内和国(境)外考生,须按规定时间毕业并取得相应学历和学位证书,未按时取得学历学位证书的,取消聘用资格。
(三)因下列情形导致拟聘岗位出现空缺的,招聘单位可根据实际情况决定是否递补,在合格考生中按总成绩从高分到低分依次递补:1.未在2023年12月31日前完成毕业生接收手续者;2.不服从组织调配者;3.伪造或涂改证件、证明,信息不真实不完整,或者以其他不正当手段获取应聘资格者;4.公示结果影响聘用者;5.考察或体检不合格者;6.放弃聘用资格者;7.法律、法规及其它有关规章规定不准聘用者。
(四)请考生按岗位条件诚信报考,资格条件审核贯穿招聘工作全过程,一经发现资格条件不符立即取消考试或聘用资格,因此产生的后果由考生负责。涉及违规违法行为的,按有关规定处理。
(五)本次招聘考试不指定考试辅导用书,不举办也不委托任何机构举办考试辅导培训班。
(六)本公告及其附件的“以上”“以下”均包含本级基数。
附件:1.珠海市第二中学、珠海市斗门区第一中学、珠海市田家炳中学、珠海市第四中学、珠海市麒麟中学(珠海二中麒麟校区)2023年春季招聘岗位表.xls
2.珠海市教育局2023年春季五所自主招聘单位介绍 .docx
珠海市教育局
2023年4月12日

